![]() АДМИНИСТРАЦИЯ БОГОТОЛЬСКОГО ПОСТАНОВЛЕНИЕ |
||
|
10.02.2025 |
г. Боготол |
№ 0045-п |
|
Об утверждении Административного регламента предоставления Администрацией Боготольского муниципального округа муниципальной услуги «Оказание адресной материальной помощи при посещении бань» |
||
В соответствии с Федеральными законами от 06.10.2003 № 131-ФЗ «Об общих принципах организации местного самоуправления в Российской Федерации», от 27.07.2010 № 210-ФЗ «Об организации предоставления государственных и муниципальных услуг», постановлением администрации города Боготола от 23.12.2025 № 0918-п «Об утверждении Порядка разработки и утверждения административных регламентов предоставления муниципальных услуг», решением Боготольского окружного Совета депутатов от 05.11.2025 № 2-27 «Об отдельных вопросах правопреемства Администрации Боготольского муниципального округа», руководствуясь Уставом Боготольского муниципального округа Красноярского края, ПОСТАНОВЛЯЮ:
1. Утвердить Административный регламент предоставления Администрацией Боготольского муниципального округа муниципальной услуги «Оказание адресной материальной помощи при посещении бань» согласно приложению к настоящему постановлению.
2. Признать утратившим силу следующие постановления администрации города Боготола:
- от 21.01.2019 № 0046-п «Об утверждении Административного регламента предоставления муниципальной услуги отдельным категориям граждан дополнительных мер социальной поддержки при посещении бань»;
- от 10.03.2020 № 0198-п «О внесении изменений в постановление администрации города Боготола от 21.01.2019 № 0046-п «Об утверждении Административного регламента предоставления муниципальной услуги отдельным категориям граждан дополнительных мер социальной поддержки при посещении бань»;
- от 18.02.2021 № 0179-п «О внесении изменений в постановление администрации города Боготола от 21.01.2019 № 0046-п «Об утверждении Административного регламента предоставления муниципальной услуги отдельным категориям граждан дополнительных мер социальной поддержки при посещении бань».
3. Контроль за исполнением настоящего постановления возложить на заместителя Главы Боготольского муниципального округа по социальным вопросам.
4. Настоящее постановление подлежит официальному опубликованию и размещению на официальном сайте в сети Интернет.
5. Постановление вступает в силу в день, следующий за днем его официального опубликования, и распространяет свое действие на правоотношения, возникшие с 01.01.2026.
Глава Боготольского
муниципального округа
А.В. Байков
Гладкова Оксана Викторовна
6-34-38
Приложение
к постановлению Администрации
Боготольского муниципального округа
от 10.02.2026 г. № 0045-п
АДМИНИСТРАТИВНЫЙ РЕГЛАМЕНТ
предоставления Администрацией Боготольского муниципального округа муниципальной услуги «Оказание адресной материальной помощи при посещении бань»
1. ОБЩИЕ ПОЛОЖЕНИЯ
1.1. Настоящий административный регламент по предоставлению Администрацией Боготольского муниципального округа муниципальной услуги «Оказание адресной материальной помощи при посещении бань» (далее - Административный регламент) определяет порядок, сроки и последовательность административных процедур при предоставлении муниципальной услуги в соответствии с законодательством Российской Федерации.
1.2 Круг заявителей:
Получателями муниципальной услуги являются граждане Российской Федерации, зарегистрированные в установленном порядке по месту жительства или по месту пребывания (в случае отсутствия регистрации по месту жительства) в городе Боготоле, либо при наличии вступившего в законную силу решения суда об установлении факта проживания гражданина на территории города Боготола (в случае, если гражданин не зарегистрирован по месту жительства или по месту пребывания на территории города Боготола).
От имени заявителя могут выступать физические лица, имеющие право в соответствии с законодательством Российской Федерации либо в силу наделения их заявителями в порядке, установленном законодательством Российской Федерации, полномочиями выступать от их имени (далее - заявители).
1.3. Органом, уполномоченным оказывать муниципальную услугу, является Администрация Боготольского муниципального округа (далее - орган, оказывающий муниципальную услугу).
1.4. Информирование заявителей о порядке предоставления муниципальной услуги осуществляется администрацией Боготольского муниципального округа и структурным подразделением Краевого государственного бюджетного учреждения «Многофункциональный центр предоставления государственных и муниципальных услуг» (далее - МФЦ):
- при личном приеме;
- на информационных стендах, расположенных в местах предоставления муниципальной услуги;
- с использованием средств телефонной связи по телефонам администрации Боготольского муниципального округа: 8 (39157) 6-34-38 и по адресу электронной почты: glava@bogotolcity.ru;
- с использованием средств телефонной связи по телефонам МФЦ по телефону: 8(39157) 6-33-05, по адресу электронной почты: info@24mfc.ru; Адрес официального сайта МФЦ: http://24mfc.ru/,
- посредством размещения на официальном сайте Боготольского муниципального округа: https://bogotol-okrug.gosuslugi.ru/ , на стендах в помещениях органа, оказывающего муниципальную услугу;
- путем размещения на Едином портале государственных и муниципальных услуг (функций) по адресу: https://www.gosuslugi.ru/ и Портале государственных услуг Красноярского края: https://www.gosuslugi.krskstate.ru/ (далее - портал государственных услуг).
1.5. Информирование (консультирование) производится по вопросам предоставления муниципальной услуги, в том числе:
- о порядке и условиях предоставления муниципальной услуги;
- о форме заявлений и перечне документов, необходимых для оказания муниципальной услуги, в том числе о перечне документов, которые заявитель представляет лично, и которые он вправе представить по собственной инициативе;
- о графике работы органа, оказывающего муниципальную услугу, времени приема заявителей;
- оснований для отказа в предоставлении муниципальной услуги;
- порядка обжалования действий (бездействия) и решений, осуществляемых и принимаемых в ходе предоставления муниципальной услуги;
- сведений о ходе предоставления муниципальной услуги в любое время со дня приема документов.
Устное информирование осуществляется специалистом органа, оказывающего муниципальную услугу, многофункциональным центром предоставления государственных и муниципальных услуг, при обращении за консультацией лично или по телефону.
Информация об обратившемся получателе муниципальной услуги заносится в журнал приема в органе, оказывающем муниципальную услугу.
1.6. Заявителями на предоставление муниципальной услуги являются граждане Российской Федерации, зарегистрированные в установленном порядке по месту жительства или по месту пребывания (в случае отсутствия регистрации по месту жительства) в городе Боготоле:
1) участники и инвалиды Великой Отечественной войны в размере 400 рублей;
2) пенсионеры, инвалиды I и II группы, дети - инвалиды, дети в возрасте до 7 лет, в размере 200 рублей;
3) дети из многодетных семей в размере 200 рублей;
4) участники специальной военной операции, члены семьи участников специальной военной операции в размере 200 рублей.
1.7. Для подачи документов и получения результата муниципальной услуги гражданин вправе обратиться лично либо через уполномоченного представителя.
1.8. Информация об оказании адресной материальной помощи при посещении бань размещается в Единой государственной информационной системе социального обеспечения. Размещение (получение) указанной информации в Единой государственной информационной системе социального обеспечения осуществляется в соответствии с Федеральным законом от 17.07.1999 № 178-ФЗ «О государственной социальной помощи».
2. СТАНДАРТ ПРЕДОСТАВЛЕНИЯ МУНИЦИПАЛЬНОЙ УСЛУГИ
2.1. Наименование муниципальной услуги - оказание адресной материальной помощи при посещении бань (далее - муниципальная услуга).
2.2. Предоставление муниципальной услуги осуществляется Администрацией Боготольского муниципального округа (далее - орган, оказывающий муниципальную услугу)
Уполномоченное должностное лицо на подписание распоряжения об оказании адресной материальной помощи при посещении бань является заместитель Главы Боготольского муниципального округа, курирующего данное направление.
2.3. Результатом предоставления муниципальной услуги является принятие решения об оказании адресной материальной помощи при посещении бань.
2.4. Срок предоставления муниципальной услуги составляет 15 рабочих дней.
2.5. Для получения муниципальной услуги заявитель лично либо через законного представителя (опекуна/попечителя), или лица, уполномоченного им на основании доверенности, оформленной в соответствии с законодательством Российской Федерации, представляет в орган, оказывающий муниципальную услугу по месту жительства или по месту пребывания (в случае отсутствия регистрации по месту жительства), КГБУ «МФЦ» следующие документы:
- заявление по форме согласно приложению 1 к настоящему Регламенту;
- копию паспорта или иного документа, удостоверяющего личность заявителя;
-копию документа, удостоверяющего личность законного представителя, и документа, подтверждающего его полномочия;
- копию документа с реквизитами расчетного счета;
- платежные документы, подтверждающие фактические расходы посещения бань (чеки, товарные чеки, квитанции, бланки строгой отчетности), оформленные в соответствии с законодательством Российской Федерации;
- копию страхового свидетельства обязательного пенсионного страхования Гражданина или иного документа, подтверждающего регистрацию Гражданина в системе индивидуального (персонифицированного) учета;
- копию документов, подтверждающих право: участникам и инвалидам Великой Отечественной войны - копию удостоверения участника или инвалида Великой Отечественной войны; пенсионерам - копию справки (сведений) о назначении пенсии; инвалидам I и II группы - копию справки, подтверждающей факт установления инвалидности, выданной федеральным государственным учреждением медико-социальной экспертизы, детям в возрасте до 7 лет - копию свидетельства о рождении; детям из многодетных семей - копии свидетельств о рождении на каждого несовершеннолетнего ребенка; участникам специальной военной операции - копию справки участника специальной военной операции; членам семьи участника специальной военной операции - копии документов, подтверждающих родство (копия свидетельства о браке, копия свидетельств о рождении детей).
Документы, указанные в абзаце седьмом настоящего пункта, находящиеся в распоряжении органов (организаций), предоставляющих (участвующих в предоставлении) государственные и муниципальные услуги, запрашиваются органом, оказывающим муниципальную услугу самостоятельно в порядке межведомственного информационного взаимодействия. Заявитель вправе представить указанные документы по собственной инициативе.
Запрещено требовать от заявителя:
1) представления документов и информации или осуществления действий, представление или осуществление которых не предусмотрено нормативными правовыми актами, регулирующими отношения, возникающие в связи с предоставлением государственных и муниципальных услуг;
2) представления документов и информации, в том числе подтверждающих внесение заявителем платы за предоставление государственных и муниципальных услуг, которые находятся в распоряжении органов, предоставляющих государственные услуги, органов, предоставляющих муниципальные услуги, иных государственных органов, органов местного самоуправления либо подведомственных государственным органам или органам местного самоуправления организаций, участвующих в предоставлении предусмотренных частью 1 статьи 1 Федерального закона от 27.07.2010 № 210-ФЗ «Об организации предоставления государственных и муниципальных услуг», в соответствии с нормативными правовыми актами Российской Федерации, нормативными правовыми актами субъектов Российской Федерации, муниципальными правовыми актами, за исключением документов, включенных в определенный частью 6 статьи 7 Федерального закона от 27.07.2010 № 210-ФЗ «Об организации предоставления государственных и муниципальных услуг», перечень документов. Заявитель вправе представить указанные документы и информацию в органы, предоставляющие государственные услуги, и органы, предоставляющие муниципальные услуги, по собственной инициативе;
3) осуществления действий, в том числе согласований, необходимых для получения государственных и муниципальных услуг и связанных с обращением в иные государственные органы, органы местного самоуправления, организации, за исключением получения услуг и получения документов и информации, предоставляемых в результате предоставления таких услуг, включенных в перечни, указанные в части 1 статьи 9 Федерального закона от 27.07.2010 № 210-ФЗ «Об организации предоставления государственных и муниципальных услуг»;
4) представления документов и информации, отсутствие и (или) недостоверность которых не указывались при первоначальном отказе в приеме документов, необходимых для предоставления государственной или муниципальной услуги, либо в предоставлении государственной или муниципальной услуги, за исключением следующих случаев:
а) изменение требований нормативных правовых актов, касающихся предоставления государственной или муниципальной услуги, после первоначальной подачи заявления о предоставлении государственной или муниципальной услуги;
б) наличие ошибок в заявлении о предоставлении государственной или муниципальной услуги и документах, поданных заявителем после первоначального отказа в приеме документов, необходимых для предоставления государственной или муниципальной услуги, либо в предоставлении государственной или муниципальной услуги и не включенных в представленный ранее комплект документов;
в) истечение срока действия документов или изменение информации после первоначального отказа в приеме документов, необходимых для предоставления государственной или муниципальной услуги, либо в предоставлении государственной или муниципальной услуги;
г) выявление документально подтвержденного факта (признаков) ошибочного или противоправного действия (бездействия) должностного лица органа, предоставляющего государственную услугу, или органа, предоставляющего муниципальную услугу, государственного или муниципального служащего, работника многофункционального центра, работника организации, предусмотренной частью 1.1 статьи 16 Федерального закона от 27.07.2010 № 210-ФЗ «Об организации предоставления государственных и муниципальных услуг», при первоначальном отказе в приеме документов, необходимых для предоставления государственной или муниципальной услуги, либо в предоставлении государственной или муниципальной услуги, о чем в письменном виде за подписью руководителя органа, предоставляющего государственную услугу, или органа, предоставляющего муниципальную услугу, руководителя многофункционального центра при первоначальном отказе в приеме документов, необходимых для предоставления государственной или муниципальной услуги, либо руководителя организации, предусмотренной частью 1.1 статьи 16 Федерального закона от 27.07.2010 № 210-ФЗ «Об организации предоставления государственных и муниципальных услуг», уведомляется заявитель, а также приносятся извинения за доставленные неудобства.
2.6. Заявление об оказании адресной материальной помощи заполняется на русском языке, составляется в одном экземпляре и подписывается заявителем с указанием даты подачи заявления.
Копии документов, указанных в пункте 2.5 настоящего Регламента, не заверенные организацией, выдавшей соответствующие документы, или нотариально, предоставляются с предъявлением оригиналов, которые после их сличения с копиями документов возвращаются заявителю.
2.7. Основания для отказа в приеме документов, необходимых для предоставления муниципальной услуги, отсутствуют.
2.8. Основания для приостановления предоставления муниципальной услуги или отказа в предоставлении муниципальной услуги.
Основания для приостановления предоставления муниципальной услуги отсутствуют.
Основаниями для отказа в предоставлении муниципальной услуги являются:
- отсутствие у заявителя права на дополнительные меры социальной поддержки при посещении бань;
- непредставление документов, указанных в пункте 2.5 настоящего Регламента, за исключением документов, которые запрашиваются органом, оказывающим муниципальную услугу самостоятельно в порядке межведомственного информационного взаимодействия при отсутствии информации о заявителе;
- представление документов, имеющих подчистки, приписки, не заверенные в установленном порядке исправления, зачеркнутые слова (цифры), а также документов, которые не поддаются прочтению;
- обращение за материальной помощью по истечении трех месяцев со дня получения услуги бани;
- представление заявителем заведомо ложной информации или недостоверных сведений, документов.
2.9. Муниципальная услуга предоставляется бесплатно.
2.10. Результатом предоставления муниципальной услуги является направление в адрес заявителя письменного уведомления об оказании либо об отказе в оказании Материальной помощи.
2.11. Срок предоставления муниципальной услуги составляет 15 рабочих дней.
2.12. Максимальный срок ожидания в очереди при подаче заявления и документов на получение муниципальной услуги и при получении результата предоставления муниципальной услуги составляет 15 минут на одного заявителя.
Максимальный срок регистрации заявления на предоставление муниципальной услуги - один рабочий день со дня подачи.
2.13. На информационных стендах органа, оказывающего муниципальную услугу размещаются:
- сведения о графике (режиме) работы органа, оказывающего муниципальную услугу;
- образцы заполнения заявлений с перечнем документов, необходимых для предоставления муниципальной услуги;
- информация о порядке и условиях предоставления муниципальной услуги в текстовом виде.
2.14. Рабочее место специалиста органа, оказывающего муниципальную услугу, участвующего в оказании муниципальной услуги, оснащается настенной вывеской или настольной табличкой с указанием их фамилии, имени, отчества и должности. Указатели должны быть четкими, заметными и понятными, с дублированием необходимой для инвалидов звуковой либо зрительной информации или предоставлением текстовой и графической информации знаками, выполненными рельефно-точечным шрифтом Брайля.
2.15. Помещения для предоставления муниципальной услуги по возможности размещаются на нижних этажах зданий.
В местах предоставления муниципальной услуги на видном месте размещаются схемы расположения средств пожаротушения и путей эвакуации посетителей и работников, участвующих в оказании муниципальной услуги.
Для инвалидов должны обеспечиваться:
- условия для беспрепятственного доступа в помещение органа, оказывающего муниципальную услугу;
- возможность самостоятельного передвижения по территории, на которой расположено помещение органа, оказывающего муниципальную услугу, а также входа в помещение и выхода из него, посадки в транспортное средство и высадки из него, в том числе с использованием кресла-коляски.
Специалист органа, оказывающего муниципальную услугу, оказывает инвалидам помощь в преодолении барьеров, мешающих получению ими информации о муниципальной услуге, муниципальной услуги наравне с другими лицами.
2.16. Места ожидания предоставления муниципальной услуги оборудуются стульями, кресельными секциями или скамьями.
2.17. Места для заполнения необходимых документов оборудуются стульями, столами и обеспечиваются бланками заявлений, раздаточными информационными материалами, письменными принадлежностями.
Специалист органа, оказывающего муниципальную услугу при необходимости оказывают инвалидам помощь, необходимую для получения в доступной для них форме информации о правилах предоставления муниципальной услуги, в том числе об оформлении необходимых для получения муниципальной услуги документов, о совершении ими других необходимых для получения муниципальной услуги действий.
2.18. В местах ожидания предоставления муниципальной услуги предусматривается оборудование доступных мест общего пользования (туалетов).
2.19. Места предоставления муниципальной услуги оборудуются средствами пожаротушения и оповещения о возникновении чрезвычайной ситуации.
При наличии на территории, прилегающей к местонахождению органа, оказывающего муниципальную услугу, мест для парковки автотранспортных средств выделяется не менее 10 процентов мест (но не менее одного места) для парковки специальных автотранспортных средств инвалидов.
В органе, оказывающего муниципальную услугу обеспечиваются:
- допуск на объект сурдопереводчика, тифлосурдопереводчика;
- сопровождение инвалидов, имеющих стойкие нарушения функции зрения и самостоятельного передвижения;
- допуск собаки-проводника при наличии документа, подтверждающего ее специальное обучение, выданного по форме и в порядке, установленными федеральным органом исполнительной власти, осуществляющим функции по выработке и реализации государственной политики и нормативно-правовому регулированию в сфере социальной защиты населения;
- предоставление инвалидам по слуху услуги с использованием русского жестового языка, в том числе специалистами диспетчерской службы - видеотелефонной связи для инвалидов по слуху Красноярского края.
Услуги диспетчерской службы для инвалидов по слуху предоставляет оператор-сурдопереводчик Красноярского регионального отделения Общероссийской общественной организации инвалидов «Всероссийское общество глухих», которое располагается по адресу: г. Красноярск, ул. 9 Января, д. 26А, пом.32.
Режим работы: ежедневно с 09:00 до 18:00 (кроме выходных и праздничных дней).
Телефон/факс: 8 (391) 227-55-44.
2.20. Показателями доступности и качества муниципальной услуги являются:
2.20.1. Качество предоставления муниципальной услуги:
- актуальность размещаемой информации о порядке предоставления муниципальной услуги;
- соблюдение срока предоставления муниципальной услуги;
- доля обращений за предоставлением муниципальной услуги, в отношении которых осуществлено досудебное обжалование действий органа, оказывающего муниципальную услугу при предоставлении муниципальной услуги, в общем количестве обращений за услугой;
- доля обращений за предоставлением муниципальной услуги, в отношении которых судом принято решение о неправомерности действий органа, оказывающего муниципальную услугу при предоставлении муниципальной услуги, в общем количестве обращений за услугой;
- соблюдение сроков регистрации заявлений на предоставление муниципальной услуги.
2.20.2. Доступность муниципальной услуги:
- создание условий для беспрепятственного доступа в помещение органа, оказывающего муниципальную услугу маломобильных групп населения;
- возможность получения муниципальной услуги в электронном виде.
Расчеты показателей качества предоставления муниципальной услуги представлены в приложении 2 к настоящему Регламенту.
2.20.3. Особенности предоставления муниципальной услуги в многофункциональном центре и особенности предоставления муниципальной услуги в электронной форме.
При предоставлении муниципальной услуги КГБУ «МФЦ»:
- осуществляет информирование и прием заявлений и документов от заявителей по предоставлению муниципальной услуги в рамках соглашения о взаимодействии между КГБУ «МФЦ»;
- соблюдает требования нормативных правовых актов, регулирующих порядок предоставления муниципальных услуг;
- передает в орган, оказывающий муниципальную услугу для исполнения принятые от заявителей заявления и приложенные к ним документы не позднее рабочего дня, следующего за днем их поступления.
В электронной форме заявителю обеспечивается:
- поданные в электронной форме заявления и документы должны быть заверены электронной подписью в соответствии с постановлением Правительства Российской Федерации от 25.06.2012 № 634 «О видах электронной подписи, использование которых допускается при обращении за получением государственных и муниципальных услуг»;
- получение информации о порядке и сроках предоставления муниципальной услуги на едином портале государственных и муниципальных услуг, региональном портале государственных и муниципальных услуг, сайте;
- получение сведений о ходе выполнения запроса на предоставление муниципальной услуги в разделе «Личный кабине» на сайте;
- получение результата предоставления муниципальной услуги в разделе «Личный кабинет» на сайте.
3. СОСТАВ, ПОСЛЕДОВАТЕЛЬНОСТЬ И СРОКИ ВЫПОЛНЕНИЯ АДМИНИСТРАТИВНЫХ ПРОЦЕДУР (ДЕЙСТВИЙ), ТРЕБОВАНИЯ К ПОРЯДКУ ИХ ВЫПОЛНЕНИЯ, В ТОМ ЧИСЛЕ ОСОБЕННОСТИ ВЫПОЛНЕНИЯАДМИНИСТРАТИВНЫХ ПРОЦЕДУР (ДЕЙСТВИЙ) В ЭЛЕКТРОННОЙ ФОРМЕ, А ТАКЖЕ ОСОБЕННОСТИ ВЫПОЛНЕНИЯ АДМИНИСТРАТИВНЫХ ПРОЦЕДУР В МНОГОФУНКЦИОНАЛЬНЫХ ЦЕНТРАХ
3.1. Предоставление муниципальной услуги включает в себя следующие административные процедуры:
- прием и регистрацию заявления и документов, необходимых для предоставления муниципальной услуги;
- принятие решения об оказании или отказе в оказании материальной помощи;
- направление в адрес заявителя письменного уведомления об оказании или отказе в оказании Материальной помощи.
3.2. Основанием для начала исполнения административной процедуры по приему и регистрации заявления и документов, необходимых для предоставления муниципальной услуги, является обращение заявителя в орган, оказывающий муниципальную услугу по месту жительства или по месту пребывания (в случае отсутствия регистрации по месту жительства) с заявлением и документами, указанными в пункте 2.5 настоящего Регламента.
Ответственным за выполнение данной административной процедуры является специалист органа, оказывающего муниципальную услугу, в должностные обязанности которого входит исполнение конкретной административной процедуры по предоставлению муниципальной услуги (далее - специалист).
При приеме документов специалист осуществляет проверку представленных документов, а именно:
- наличие всех необходимых документов для предоставления муниципальной услуги;
- правильность указанных в заявлении данных, их соответствие данным в представленных документах;
- отсутствие в заявлении и документах подчисток, приписок, не заверенных исправлений, зачеркнутых слов (цифр) и повреждений, наличие которых не позволяет однозначно истолковать их содержание.
Специалист сличает подлинники представленных документов с копиями, заверяет копии документов. При заверении специалистом соответствия копии документа подлиннику проставляется:
- заверительная надпись «Верно» либо «Копия верна»;
- должность специалиста, заверившего копию;
- личная подпись;
- расшифровка подписи (инициалы, фамилия);
- дата заверения.
Подача заявления с документами в электронной форме осуществляется на странице услуги в разделе «Муниципальные услуги/Реестр муниципальных услуг» на сайте при переходе по ссылке «Направить заявление в электронной форме» путем заполнения в электронном виде полей экранной web-формы с присоединением электронных образов необходимых документов после активирования кнопки web-формы «отправить».
Для идентификации и аутентификации используется подтвержденная учетная запись заявителя в единой системе идентификации и аутентификации.
Поданные в электронной форме заявление и документы должны быть заверены электронной подписью в соответствии с Постановлением Правительства Российской Федерации от 25.06.2012 № 634 «О видах электронной подписи, использование которых допускается при обращении за получением государственных и муниципальных услуг».
Специалист вносит запись в журнал регистрации заявлений граждан и выдает расписку-уведомление. Все исправления в журнале регистрации должны сопровождаться надписью «Исправленному верить» и подтверждаться печатью, подписью. В случае подачи заявления в электронной форме заявление регистрируется в системе электронного документооборота администрации города. Информация о регистрационном номере, дате регистрации заявления и сроке предоставления муниципальной услуги направляется в "Личный кабинет" на сайте.
Результатом выполнения административной процедуры является регистрация заявления и выдача на руки заявителю расписки-уведомления.
Максимальный срок исполнения административной процедуры составляет один рабочий день со дня подачи заявления и документов, необходимых для предоставления муниципальной услуги.
3.3. Основанием для начала исполнения административной процедуры по принятию решения об оказании или отказе в оказании адресной материальной помощи является факт завершения административной процедуры по приему и регистрации заявления и документов, необходимых для предоставления муниципальной услуги.
Ответственным за выполнение данной административной процедуры является специалист органа, оказывающего муниципальную услугу.
Специалист органа, оказывающего муниципальную услугу формирует комплект документов на бумажном носителе (дело) заявителя и осуществляет проверку документов на отсутствие оснований для отказа в предоставлении муниципальной услуги согласно пункту 2.6 настоящего Регламента. В случае непредставления заявителем по собственной инициативе находящихся в распоряжении органов (организаций), предоставляющих (участвующих в предоставлении) государственные и муниципальные услуги, документов, указанных в абзаце восьмом пункта 2.3 настоящего Регламента, специалист органа, оказывающего муниципальную услугу в порядке межведомственного информационного взаимодействия формирует и направляет межведомственные запросы.
Специалист Администрации Боготольского муниципального округа Красноярского края до 5 числа месяца, следующего за месяцем предоставления документов, готовит проект распоряжения на выплату Материальной помощи гражданам, согласно реестру.
В течении 10 дней с момента принятия Распоряжения заместителя Главы Боготольского муниципального округа, курирующего данное направление, суммы Материальной помощи, согласно реестра, являющегося приложением к Распоряжению заместителя Главы Боготольского муниципального округа, курирующего данное направление, перечисляются на счета Граждан, указанных в заявлениях.
Решение об оказании адресной материальной помощи принимается и подписывается заместителем Главы Боготольского муниципального округа, курирующего данное направление.
Продолжительность административной процедуры составляет 10 рабочих дней.
Результатом выполнения данной административной процедуры является принятие решения об оказании или отказе в оказании адресной материальной помощи.
3.4. Основанием для начала административной процедуры по направлению в адрес заявителя письменного уведомления об оказании или отказе в оказании адресной материальной помощи является факт завершения административной процедуры по принятию решения об оказании или отказе в оказании адресной материальной помощи.
Ответственным за выполнение данной административной процедуры является специалист органа, оказывающего муниципальную услугу.
Уведомление об оказании адресной материальной помощи содержит:
- фамилию, имя, отчество заявителя;
- дату и номер решения об оказании адресной материальной помощи;
- размер оказываемой адресной материальной помощи;
- подпись заместителя Главы Боготольского муниципального округа, курирующего данное направление;
- дату.
Уведомление об отказе в оказании адресной материальной помощи содержит:
- фамилию, имя, отчество заявителя;
- основания для отказа в оказании адресной материальной помощи;
- порядок обжалования решения об отказе в оказании адресной материальной помощи;
- подпись заместителя Главы Боготольского муниципального округа, курирующего данное направление;
- дату.
Продолжительность административной процедуры составляет 4 рабочих дня.
Результатом выполнения административной процедуры является направление в адрес заявителя письменного уведомления об оказании или отказе в оказании адресной материальной помощи.
В случае если заявление подано в электронной форме, и заявитель выбрал способ получения уведомления в электронной форме, уведомление об оказании или отказе в оказании адресной материальной помощи направляется в раздел «Личный кабинет» на сайте.
3.5. КГБУ «МФЦ» осуществляет информирование и прием заявлений и документов от заявителей по предоставлению муниципальных услуг в рамках соглашения о взаимодействии между КГБУ «МФЦ».
Соблюдает при предоставлении муниципальных услуг требования нормативных правовых актов, регулирующих порядок их предоставления.
Заверяет копии документов, приложенных к заявлению. Унифицированные системы документации. Унифицированная система организационно - распорядительной документации. Требования к оформлению документов» в том числе и печатью КГБУ «МФЦ».
Доставляет принятые от заявителей заявления и приложенные к ним документы в орган, оказывающий муниципальную услугу не позднее одного рабочего дня, следующего за днем приема заявления и документов.
Принимает жалобы заявителей, чьи права и законные интересы, по их мнению, могли быть нарушены в ходе предоставления муниципальной услуги (отказ в предоставлении услуги, необоснованное затягивание установленных действующим административным регламентом сроков предоставления услуги, а также действия (бездействия) и решения должностных лиц органа, оказывающего муниципальную услугу, нарушающие требования к предоставлению услуги) и не позднее следующего рабочего дня передает их в орган, оказывающий муниципальную услугу для рассмотрения и принятия решения по существу всех поставленных вопросов.
Приложение 1
к Административному регламенту
предоставления муниципальной услуги
«Оказание адресной материальной
помощи при посещении бань»
01/01/020 Главе Боготольского муниципального округа
(реестровый номер услуги)
_________________________________________
(наименование района)
_________________________________________
(фамилия, имя, отчество)
__________________________________________
(фамилия, имя, отчество заявителя (полностью)
__________________________________________
(почтовый индекс и адрес проживания)
__________________________________________
__________________________________________
(дата документа, проставляемая (номер контактного
телефона) заявителем)
ЗАЯВЛЕНИЕ
Прошу оказать адресную материальную помощь на посещение бань.
Выплату адресной материальной помощи прошу произвести на расчетный счет.
При закрытии расчетного счета обязуюсь сообщить об этом в Администрацию Боготольского муниципального округа в течение 5 дней.
Достоверность и полноту сведений, указанных в заявлении, подтверждаю.
Приложения:
1. Копия паспорта или иного документа, удостоверяющего личность заявителя, на ___ л. в 1 экз.
2. Копия документа, удостоверяющего личность законного представителя, и документа, подтверждающего его полномочия, на ___ л. в 1 экз.
3. Копия документа с реквизитами расчетного счета в случае перечисления адресной материальной помощи на расчетный счет на ___ л. в 1 экз.
4. Платежные документы, подтверждающие фактические расходы посещения бань (чеки, товарные чеки, квитанции, бланки строгой отчетности), оформленные в соответствии с законодательством Российской Федерации, на ___л. в 1 экз.
5. Копия страхового свидетельства обязательного пенсионного страхования Гражданина или иного документа, подтверждающего регистрацию Гражданина в системе индивидуального (персонифицированного) учета на __ л. в 1 экз.;
6. Документы, подтверждающие право на материальную помощь на___ л. в 1 экз.
Приложение на ___ листах.
Уведомление о принятом решении прошу направить (нужное отметить):
в электронной форме (в случае подачи заявления в электронной форме);
на бумажном носителе по почте.
________________________
(подпись заявителя)
| Регистрационный номер заявления | Дата, время принятия заявления | Документы, удостоверяющие личность заявителя, проверены. Заявление принял | |
|---|---|---|---|
| Ф.И.О. | подпись | ||
---------------------------------------------------------------------------
Расписка-уведомление
Заявление и документы гражданина _________________________________________.
Регистрационный номер заявления __________________________________________.
Документы принял:
Дата ________ Ф.И.О. специалиста ___________ подпись специалиста _________.
Приложение 2
к Административному регламенту
предоставления муниципальной услуги
«Оказание адресной материальной
помощи при посещении бань»
МЕТОДИКА РАСЧЕТА И КРИТЕРИИ ОЦЕНКИ ПОКАЗАТЕЛЕЙ КАЧЕСТВА ПРЕДОСТАВЛЕНИЯ МУНИЦИПАЛЬНОЙ УСЛУГИ
Показатель 1. Актуальность размещаемой информации о порядке предоставления муниципальной услуги (далее - МУ).
Единица измерения - проценты.
Нормативное значение показателя - 100.
Источник информации - официальный сайт администрации города.
Расчет показателя (пояснения):
ПАИ = (АМП + АГП + АТ + ААР + АФЗ) x 100%,
где:
АМП - информация о местах приема заявителей по вопросам предоставления МУ, в том числе прием заявлений и выдача результата предоставления МУ, адрес, номер кабинета.
При оценке показателя необходимо также учитывать реализована ли возможность подать документы на предоставление МУ через МФЦ;
АГП - наличие актуальной информации о графике приема заявителей по вопросам предоставления МУ, включая дни недели, время приема, время обеда (при наличии);
АТ - наличие актуальной информации о справочных телефонах, по которым можно получить консультацию по вопросам предоставления МУ;
ААР - наличие актуальной редакции Административного регламента (далее - АР) предоставления МУ;
АФЗ - наличие актуальной редакции формы заявления на предоставление МУ.
Показатель представляет собой сумму баллов за каждую размещенную на сайте позицию. В случае актуальности размещенной информации присваивается 0,2 балла, иначе 0 баллов. Нормативное значение показателя равно 100. Отклонение от нормы говорит о некачественном предоставлении МУ с точки зрения актуальности размещаемой информации.
Показатель 2. Соблюдение срока предоставления МУ.
Единица измерения - проценты.
Нормативное значение показателя - 100.
Для оценки показателей осуществляется выборка обращений граждан за предоставлением МУ за прошедший год.
Источник информации: система электронного документооборота (далее - СЭД).
Показатель рассчитывается на основе выборки обращений за МУ в период, за который проводится оценка качества.
Расчет показателя (пояснения):

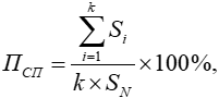
где:
k - количество МУ из выборки;
Si - фактический срок предоставления каждой МУ из выборки;
SN - срок предоставления МУ, установленный в АР.
Показатель представляет собой отношение фактического срока рассмотрения обращений за МУ к суммарному сроку рассмотрения этих же обращений в соответствии со сроком, установленным АР.
Фактический срок рассмотрения обращения за МУ определяется периодом времени с момента (даты) регистрации заявления до даты исполнения (направления или выдачи ответа заявителю). Срок предоставления МУ согласно АР представляет собой максимальный срок предоставления МУ, закрепленный в стандарте АР. Значение показателя меньше или равно 100% говорит о том, что МУ предоставлена без нарушения сроков (в срок или ранее), установленных АР. Следовательно, МУ предоставлена качественно.
Показатель 3. Доля обращений за предоставлением МУ, в отношении которых осуществлено досудебное обжалование действий органов и должностных лиц при предоставлении МУ, в общем количестве обращений за МУ.
Единица измерения - проценты.
Нормативное значение - 0.
Источник информации: СЭД.
Расчет показателя (пояснение):

где:
КЖ - количество обращений, в отношении которых поданы обоснованные жалобы на действия органа или должностных лиц при предоставлении МУ, поступивших в период, за который проводится оценка качества;
КОБ - количество обращений за МУ в период, за который проводится оценка качества.
Под обоснованными жалобами на действия органов и должностных лиц при предоставлении МУ понимаются жалобы, по которым принято решение об их удовлетворении, поданные в соответствии с перечнем оснований для досудебного обжалования решений и действия (бездействия) органа или должностного лица, предоставляющего МУ, установленным статьей 11.1 Федерального закона от 27.07.2010 № 210-ФЗ «Об организации предоставления государственных и муниципальных услуг», а именно:
1) нарушение срока регистрации заявления заявителя о предоставлении МУ;
2) нарушение срока предоставления МУ;
3) требование у заявителя документов, не предусмотренных нормативными правовыми актами для предоставления МУ;
4) отказ в приеме документов, предоставление которых предусмотрено нормативными правовыми актами для предоставления МУ, у заявителя;
5) отказ в предоставлении МУ, если основания отказа не предусмотрены нормативными правовыми актами;
6) затребование с заявителя при предоставлении МУ платы, не предусмотренной нормативными правовыми актами;
7) отказ органа, предоставляющего МУ, должностного лица органа, предоставляющего МУ, в исправлении допущенных опечаток и ошибок в выданных в результате предоставления МУ документах либо нарушение установленного срока таких исправлений.
Нормативное значение показателя равно 0. Наличие обоснованных жалоб, связанных с предоставлением МУ (как минимум одной и более), говорит о нарушении АР и иных нормативных актов и, соответственно, о некачественном предоставлении МУ.
Показатель 4. Доля обращений за МУ, в отношении которых принято судом решение о неправомерности действий органов при предоставлении МУ, в общем количестве обращений за МУ.
Единица измерения - проценты.
Нормативное значение - 0.
Источник информации: СЭД.
Расчет показателя (пояснение):

где:
КСР - количество обращений за МУ, для которых осуществлено судебное обжалование действий органа или должностных лиц при предоставлении МУ (отказов в предоставлении МУ, признанных незаконными в судебном порядке; удовлетворенных исков, поданных в отношении МУ, и т.п.), поступивших в период, за который проводится оценка качества;
КОБ - количество обращений за МУ в период, за который проводится оценка качества.
Нормативное значение показателя равно 0. Наличие обращений, в отношении которых принято судом решение о неправомерности действий органов (как минимум одного и более), говорит о нарушении АР и иных нормативных актов и, соответственно, о некачественном предоставлении МУ.
Показатель 5. Соблюдение сроков регистрации заявлений на предоставление МУ.
Показатель применяется только для МУ, предоставляемых в электронной форме.
Единица измерения - проценты.
Нормативное значение показателя - 100.
Источник информации - СЭД.
Расчет показателя (пояснение):

где:
k - количество МУ из выборки;
Si - фактический срок регистрации каждого заявления из выборки;
SN - срок регистрации заявления, установленный в АР.
Показатель рассчитывается на основе выборки заявлений на предоставление МУ, поступивших в администрацию города в электронном виде (через единый и региональный порталы государственных и МУ, Сайт) в период, за который проводится оценка качества.
Данный показатель представляет собой отношение фактического срока регистрации заявлений к сроку регистрации этих же заявлений в соответствии со сроком, закрепленным в АР. Фактический срок регистрации заявления считается с даты поступления заявления в информационную систему до даты регистрации. Срок регистрации заявления согласно АР представляет собой максимальный срок регистрации заявления на предоставление МУ, закрепленный в стандарте АР.
Значение показателя меньше или равно 100% говорит о том, что сроки регистрации не нарушены. Следовательно, МУ предоставлена качественно.
|
Документ |
Дата публикации |
|---|---|
| Текст постановления с приложением в формате PDF |
13.02.2025 |

